Buy Methylenedioxypyrovalerone (MDPV) Online UK
£150.00 – £1,650.00Price range: £150.00 through £1,650.00
Buy Methylenedioxypyrovalerone (MDPV) Online UK (London, Birmingham, Glasgow, Leeds, Liverpool, Edinburgh, Sheffield, Manchester, Belfast, Bristol, Leicester, Brighton & Hove, Southampton, Newcastle upon Tyne, Nottingham, Cardiff, Middlesbrough, Stoke-on-Trent, Coventry, Derby). Discover premium Methylenedioxypyrovalerone (MDPV) online in the UK at UK Party Head Shop. Explore secure purchasing options, quality assurance, and extensive research insights into this synthetic stimulant. Elevate your studies with reliable supplies today!
Comprehensive Guide to Methylenedioxypyrovalerone (MDPV) for Research Purposes
Introduction
What is MDPV?
Methylenedioxypyrovalerone (MDPV) is a synthetic stimulant classified as a cathinone. Cathinones are a family of compounds that derive from khat (Catha edulis), a plant whose leaves are chewed for their stimulant effects. MDPV is a member of a broader family of synthetic derivatives that have emerged over the last few decades, often marketed as “legal highs” or research chemicals. Buy Methylenedioxypyrovalerone (MDPV) Online UK

Historical Context
First synthesized in the 1960s, MDPV was created to explore its potential as an antidepressant and psychostimulant. It gained significant attention in the early 2000s when it began appearing in designer drug formulations. The clandestine synthesis of MDPV raised concerns regarding its safety and legal status, eventually leading to its classification as a controlled substance in various countries, including the UK. Buy Methylenedioxypyrovalerone (MDPV) Online UK
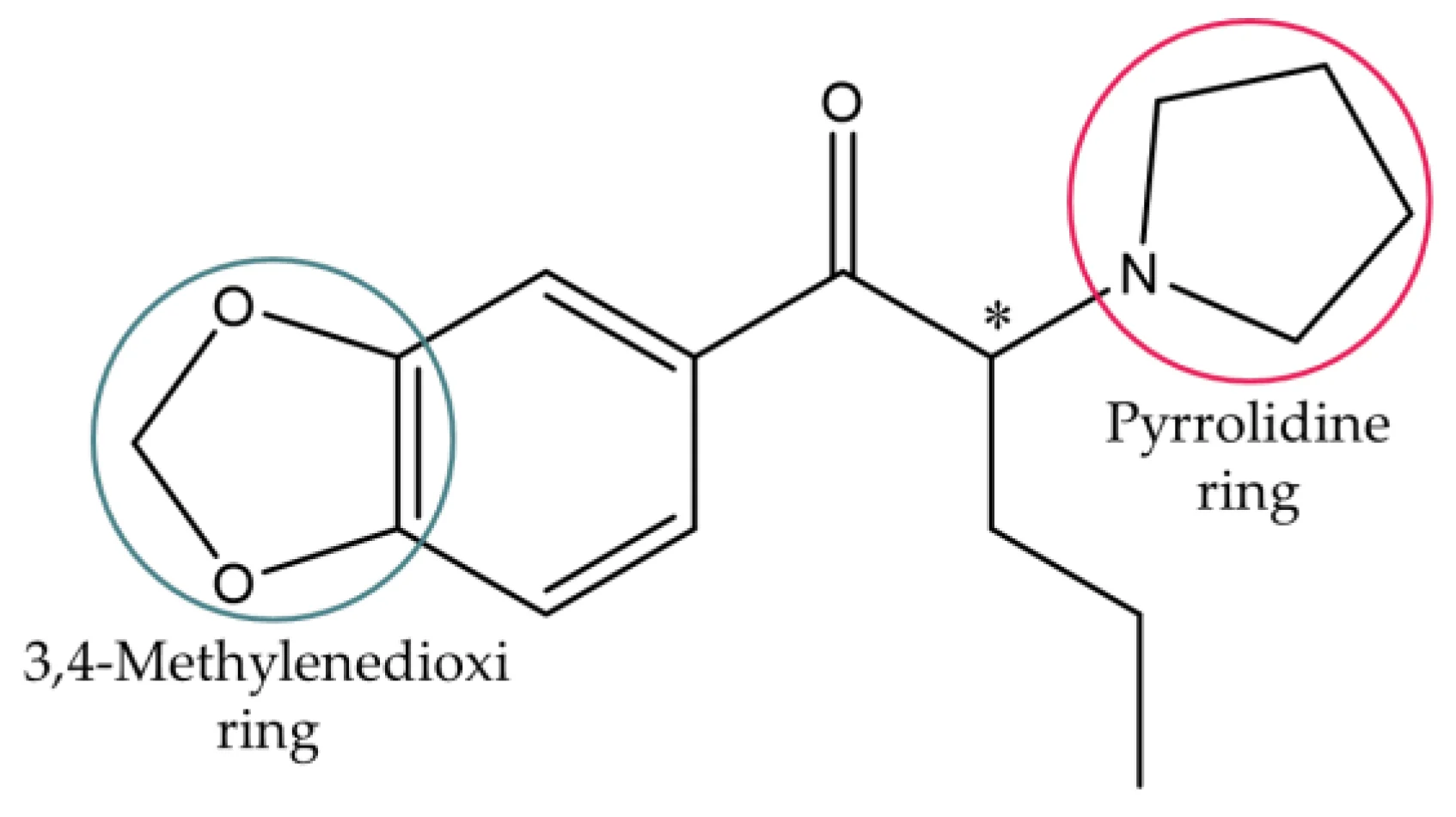
Chemical Structure
Chemical Composition
MDPV possesses a unique chemical structure that contributes to its pharmacological properties. The detailed chemical attributes include:
- Molecular Formula: C16H21NO3
- Molecular Weight: 275.35 g/mol
Structural Characteristics
The presence of a methylenedioxy group adjacent to a carbon chain makes MDPV distinctive. This structure enhances its binding affinity to neurotransmitter transporters in the brain, particularly the dopamine transporter, making it a potent stimulant. Buy Methylenedioxypyrovalerone (MDPV) Online UK
Mechanism of Action
How MDPV Works
MDPV primarily functions as a reuptake inhibitor for dopamine and norepinephrine. By blocking the reabsorption of these neurotransmitters back into the presynaptic neuron, MDPV increases their availability in the synaptic cleft, amplifying their stimulant effects.
Neurotransmitter Interaction
- Dopamine: MDPV’s effect on dopamine levels is significant, contributing to the euphoric sensations associated with its use. Higher dopamine levels can lead to enhanced feelings of pleasure, increased motivation, and increased energy.
- Norepinephrine: This neurotransmitter is linked to arousal and alertness. Elevated norepinephrine can stimulate the ‘fight or flight’ response, contributing to increased heart rate and blood pressure. Buy Methylenedioxypyrovalerone (MDPV) Online UK
Behavioral Implications
The influence of MDPV on the central nervous system results in a wide range of behavioral effects, including:
- Increased Sociability: Users often report heightened sociability, talkativeness, and feelings of connectedness.
- Improved Focus and Energy: Many users report increased focus, making it attractive in both recreational and performance contexts.
- Euphoria and Well-Being: Similar to other stimulants, MDPV can induce feelings of euphoria, which can be appealing to users.
Comparative Mechanisms with Other Stimulants
MDPV can be compared to substances like cocaine and amphetamines, which also elevate dopamine levels but through different mechanisms. Understanding these distinctions is crucial for researchers aiming to develop therapies targeting addiction or mood disorders. Buy Methylenedioxypyrovalerone (MDPV) Online UK
Effects and Potential Risks
Psychoactive Effects
Users have reported both desired and adverse effects. The desired effects often include:
- Increased Energy: High levels of energy can facilitate prolonged activities and social interactions.
- Enhanced Mood: Many users report an uplifted mood and heightened emotional responses.
Adverse Effects
However, MDPV use is not without risks. Significant adverse effects can include:
- Psychological Reactions: Paranoia, anxiety, and, in some cases, psychosis can arise during or after use.
- Cardiovascular Issues: Increased heart rate and blood pressure may pose serious health risks, particularly for individuals with pre-existing cardiac conditions.
- Physical Effects: Users may experience insomnia, loss of appetite, and tremors. Buy Methylenedioxypyrovalerone (MDPV) Online UK
Long-Term Risks and Consequences
Chronic use of MDPV can lead to serious health complications, including:
- Addiction and Dependence: The risk of developing tolerance leads to higher doses and a dangerous cycle of use.
- Withdrawal Symptoms: Discontinuation may result in fatigue, depression, and an increased craving for the substance.
Case Studies and User Accounts
Several case studies highlight the physical and psychological toll of MDPV abuse, including instances of emergency medical intervention for cardiovascular complications and reports of severe psychological distress. Buy Methylenedioxypyrovalerone (MDPV) Online UK
Legal Status
Regulatory Framework in the UK
In the UK, MDPV is classified as a Class B drug under the Misuse of Drugs Act 1971. This classification indicates that unauthorized production, supply, or possession of MDPV is illegal, reflecting the government’s efforts to control the proliferation of designer drugs. Buy Methylenedioxypyrovalerone (MDPV) Online UK
Global Legal Perspectives
The legal status of MDPV varies worldwide:
- United States: MDPV is often classified as a Schedule I substance under the Controlled Substances Act, which indicates no accepted medical use and a high potential for abuse.
- European Union: MDPV is similarly controlled under various drug legislation frameworks, posing challenges for researchers studying its effects.
Implications of Legal Restrictions
Researchers must navigate complex legal environments when dealing with MDPV. Adhering to local regulations is essential not only for legal compliance but for ethical research practices. Buy Methylenedioxypyrovalerone (MDPV) Online UK
Research Applications
Use in Scientific Research
MDPV is increasingly recognized in pharmacological research due to its interesting effects on neurotransmitter systems:
- Studying Addiction Mechanisms: MDPV serves as a valuable model for examining neural pathways involved in reward and addiction.
- Neuropharmacological Studies: Its effects on neurotransmitter systems provide insights into stimulant pharmacology and psychopharmacology.
Existing Research Studies
Numerous studies have explored various aspects of MDPV, contributing to a deeper understanding of its pharmacological profile:
- Animal Studies: Research involving rodent models shows that MDPV consumption produces hyperlocomotion, akin to that observed with traditional stimulants.
- Human Studies: Limited human research has focused on the acute effects of MDPV, with findings indicating significant increases in heart rate and blood pressure, along with subjective reports of euphoria. Buy Methylenedioxypyrovalerone (MDPV) Online UK
Topics for Future Research
Future investigations should focus on:
- Long-term Effects: Studies examining the chronic use of MDPV and its long-term health implications.
- Addiction Treatment: Exploring medical or therapeutic interventions for users struggling with addiction to MDPV and related substances.
Safety and Compliance
Ensuring Safe Practices
Researchers working with MDPV must prioritize safety and compliance with ethical guidelines:
- Licensing Requirements: Ensure that all necessary permits are obtained prior to purchasing or utilizing MDPV in research.
- Risk Assessment: Conduct thorough risk assessments to identify and mitigate potential hazards associated with handling and administering MDPV.
Best Practices for Research Facilities
Effective practices for managing research on MDPV can include:
- Training Personnel: Ensure all laboratory staff are trained in the safe handling of controlled substances, as well as understanding the legal implications.
- Secure Storage: Products and compounds must be securely stored to prevent unauthorized access and accidents.
Purchasing MDPV
Where to Buy MDPV for Research
UK Party Head Shop serves as a reputable supplier of research chemicals, including MDPV. Key aspects of purchasing include:
- Quality Assurance: Look for suppliers that provide laboratory analysis confirming the purity and quality of MDPV.
- Transparency: Ensure the vendor is transparent about their sourcing and compliance with legal regulations.
Safety in Transactions
When purchasing MDPV, researchers should:
- Verify Vendor Credibility: Check for reviews and previous customer feedback to establish trustworthiness.
- Understand Shipping Regulations: Comprehend how shipping laws apply to research chemicals, ensuring compliance with national and international regulations. Buy Methylenedioxypyrovalerone (MDPV) Online UK
Conclusion
Future Research Directions
As research on MDPV continues to evolve, understanding its complex pharmacology will provide valuable insights into the field of psychopharmacology.
Ethical Considerations in Research
Given the potential for abuse and the legal implications surrounding MDPV, it is critical that research is conducted ethically and responsibly. This involves being aware of the societal impact of stimulant research and placing an emphasis on humane and ethical treatment in experimental protocols.
The Role of MDPV in Drug Policy
Research findings on MDPV could potentially inform drug policy frameworks. By understanding the pharmacological and societal dynamics surrounding MDPV, policymakers can develop more effective strategies for addressing substance use and addiction-related issues. Buy Methylenedioxypyrovalerone (MDPV) Online UK
Additional Resources
Academic Journals
Research articles in peer-reviewed journals that have discussed MDPV and related pharmacological substances. Notable journals include:
- Journal of Psychopharmacology
- Addiction Biology
- Pharmacology Biochemistry and Behavior
Research Institutions
Contact details for key institutions involved in research on psychoactive substances. Collaboration with academic institutions can enhance research credibility and scope. Buy Methylenedioxypyrovalerone (MDPV) Online UK
Ethical and Legal Consultations
Recommendations for legal consultation services that can help navigate the complexities of researching controlled substances.
FAQs
What are the safe dosages for research purposes?
Determining safe dosages may depend on research protocols and previous studies. It is paramount to follow existing literature and consult with toxicologists.
How can one ensure quality when purchasing MDPV?
Conduct thorough research on suppliers, request quality assurance documentation, and purchase from vendors with a credible history.
What are the long-term effects of MDPV exposure in lab settings?
More longitudinal research is needed to clarify these effects. Current studies suggest potential for both physiological and psychological implications.
| Variation |
10G ,15g ,20G ,50G ,100g ,200g ,500g |
|---|
MAECENAS IACULIS
Vestibulum curae torquent diam diam commodo parturient penatibus nunc dui adipiscing convallis bulum parturient suspendisse parturient a.Parturient in parturient scelerisque nibh lectus quam a natoque adipiscing a vestibulum hendrerit et pharetra fames nunc natoque dui.
ADIPISCING CONVALLIS BULUM
- Vestibulum penatibus nunc dui adipiscing convallis bulum parturient suspendisse.
- Abitur parturient praesent lectus quam a natoque adipiscing a vestibulum hendre.
- Diam parturient dictumst parturient scelerisque nibh lectus.
Scelerisque adipiscing bibendum sem vestibulum et in a a a purus lectus faucibus lobortis tincidunt purus lectus nisl class eros.Condimentum a et ullamcorper dictumst mus et tristique elementum nam inceptos hac parturient scelerisque vestibulum amet elit ut volutpat.
Related products
4-EMC (4-Ethylmethcathinone)
£200.00 – £2,100.00Price range: £200.00 through £2,100.00
Blue Crystal Meth
£245.00 – £25,000.00Price range: £245.00 through £25,000.00
Buy A-pvp Crystals Online UK
£250.00 – £1,000.00Price range: £250.00 through £1,000.00









Reviews
There are no reviews yet.